首页 > 数据 高频线缆

[问题求助] 求知发泡线发泡度,电容值,特性阻抗,线径之间的关系?

P:2012-04-09 11:19:49

1

    求知发泡线发泡度,电容值,特性阻抗,线径死者之间的关系?

pulse waveform - 脉冲波形 (0) 投诉

P:2012-04-09 11:40:01

2

论坛里有这方面的资料

inner core - 内导体 (0) 投诉

P:2012-04-09 11:49:48

3

最基本卻又最重要的問題.

axial wire bead - 同轴电缆缆芯的绝缘垫圈 (0) 投诉

P:2012-04-09 12:01:40

4

嗯  是我们设计的基本

wood-metal reel - 铁木结构线盘 (0) 投诉

P:2012-04-09 16:39:14

5

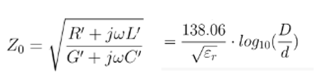
线径增大发泡度增大水中电容增大变形压扁导体直径增大发泡越均匀
特性阻抗增大增大减小不稳定不稳定减小稳定
回波损耗减小减小增大不稳定不稳定减小减小
衰减减小减小增大————————减小————
延时————增大减小————————————减小(延时差)
串音————————————————————————————

primary core unit - 基本单位(通信电缆线芯) (0) 投诉

P:2012-04-16 22:07:42

6

里面不是有很多吗

 

two-way duct - 双孔管道,双路管道(敷设二根电缆用) (0) 投诉

P:2012-05-17 23:34:05

7

fork type stranding carriage - 叉式绞线架 (0) 投诉

P:2012-08-17 16:43:21

8

学习中

loose-type conductor - 松型导线,非紧压型导线 (0) 投诉

P:2012-08-20 15:30:10

9

发泡度       大

介电常数 小

特性阻抗 大

水中电容 小

ID:               大

导体            小

故发泡度,特性阻抗和ID与介电常数,水中电容,导体成反比.

single twisting type shielding machine - 单绞式屏蔽包制机 (0) 投诉

P:2014-03-14 18:37:50

10

学习了

semi-automatic dual spooler - 半自动双盘收线装置 (0) 投诉

P:2014-03-28 22:51:43

11

学习了。谢谢!

category 1~7 cable - 1~7类电缆(均供通信网络数据传输 用,传输频率分别为1.04、5、16、20、100、200~400、500~600MHz,其中5类电缆目前主要用于智能大楼,六类电缆正在研制中,7类电缆还在设计中) (0) 投诉

P:2024-01-02 15:53:47

12


functional grouping - 功能群 (0) 投诉

P:2024-01-11 08:52:56

13

1704934329099.jpg清清楚楚

field testing - 现场试验 (0) 投诉

13


你需要登录才能发表,点击登录