首页 > 通讯电缆
[射频电缆] 射频同轴电缆组件常用公式
P:2021-05-26 14:34:04
1

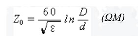
(1)特性阻抗
特性阻抗是指传输线上入射波电压和入射波电流之比,或反射波电压和反射波电流之比的负值,是同轴电缆最基本的电气特性,实际上特性阻抗可通过电缆中心导体外径和电缆绝缘介质外径及介电常数进行计算。

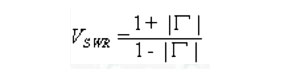
(2)电压驻波比(VSWR):
在不匹配的情况下,馈线上同时存在入射波和反射波。在入射波和反射波相位相同的地方,电压振幅相加为最大电压振幅Vmax,形成波腹;而在入射波和反射波相位相反的地方电压振幅相减为最小电压振幅Vmin,形成波节。其它各点的振幅值则介于波腹与波节之间。这种合成波称为行驻波,也可通过反射系数来计算。

(3)反射系数:传输线上任意一点反射波电压(或电流)与入射波电压(或电流)的比值称为传输线在该点的反射系数。它与电压驻比是等效参数,可通过电压驻比来计算。

(4)回波损耗:回波损耗是原始信号与反射信号的功率比(用dB表示)。因此,回波损耗表示的是反射信号的相对大小,同时也反映了传输线路终端的匹配度或者说失配度。它与反射系数、电压驻波比是等效参数,可通过反射来计算。

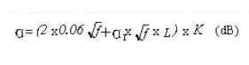
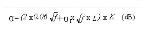
(5)组件插损 组件的插损 主要由三部份构成:接头的损耗、电缆的损耗和失配损耗。可按以下公式近似计算。

a 1为电缆长度为1米,频率为1G时的电缆衰减值 L为组件长度 K为修止系数(K=1.2)
(6)传输速率:指信号在电缆中的传播速度和光速的比值,和介质的介电常数的平方根成反比的关系。介电常数越小,则传播速度越接近光速,因此低密度介质的电缆其插入损耗更抵。

(7)延时:是指信号在电缆中通过的时间,取决于电缆介质的介电常数,介电常数越低,信号传播时间就越短。延迟时间可按下面公式计算。
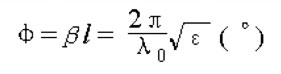
(8)相位常数:表示单位长度上的相位变化,其值为

(9)相位:根据使用的用途,如当同轴电缆用作天线电缆时,信号需要达到符合要求的传播速度和到达时间,它不采用物理长度而是采用电气长度来决定电缆的长度,求解该电气长度所用的特性就是相位。

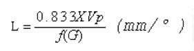
(10)相位长度:单位相位对应的电缆物理长度。

Vp为电磁波传输速率
(11)组件的相位长度:元定物理长度的电缆组件,所对应的相位。

L1为组件的物理长度 L为相位长度
(12)组件相位随温度的变化值:当温度变化时电缆的电气长度发生变化,相应的相位也发生变化。

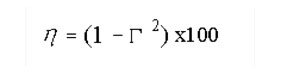
(13)匹配率:电缆组件中的阻抗变化会引起失配,导至信号的反射,这种反射会导致入射波能量的损失,而通过反射系数可计算出它的匹配程度。

(14)匹配损耗:电缆组件中因阻抗失配引起的损耗(用dB表示)可按下式计算。

photonic integrated chute - 光子集成电路 (0) 投诉
4
