首页 > 通讯电缆

[网络线缆] 网线阻抗有尖峰是哪里的问题

P:2025-01-21 10:45:26

1

悬赏贴
总赏金50金币,剩余50金币

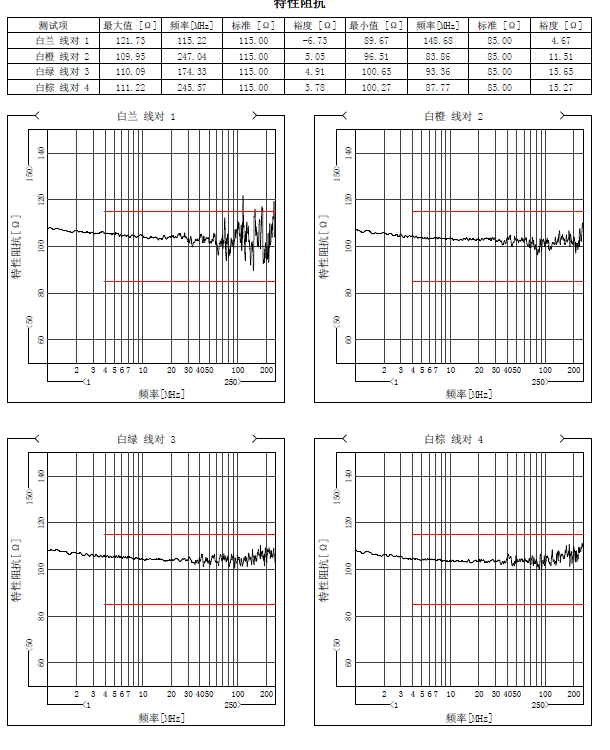
有时候小节距有尖峰,大节距没有尖峰,有没有大神科普下,如何解决问题


VHSIC - very high speed integrated circuit 极高速集成电路 (0) 投诉

P:2025-01-21 12:05:14

2

接线柱头处的节距有没有处理好?

indirect crosstalk - 间接串音 (0) 投诉

P:2025-01-22 10:23:19

3

zwx8888888:

接线柱头处的节距有没有处理好?

这个处理好了,测试的时候换对测一样的情况

phantom circuit - 幻象回路 (0) 投诉

P:2025-01-23 08:43:45

4

一般是绞和过程有问题

complement - 补充;配套 (0) 投诉

P:2025-01-23 09:02:55

5

mrwjc:

一般是绞和过程有问题

绞合有问题的话,那大节距没啥问题,都是一个串联机做的

A.C.voltage test - 交流电压试验 (0) 投诉

P:2025-01-23 15:33:25

6

单独这一对有尖峰问题,去看看这一对的线在对绞的过程中是否有刮伤现象

loading unit - 加感线圈组 (0) 投诉

P:2025-01-24 08:13:38

7

panxingkui:

单独这一对有尖峰问题,去看看这一对的线在对绞的过程中是否有刮伤现象

机器做这一批线,小节距有问题,大节距没尖峰,对绞也不是一台机器对的

pollution-free lubricant coating - 无污染润滑涂层 (0) 投诉

P:2025-02-05 11:28:06

8

请问一下白蓝绞距是多少,谢谢

fire survival elastomeric cable - 耐火橡胶绝缘电缆 (0) 投诉

P:2025-02-05 14:53:42

9

应该是金东的串联线

ATE - automatic trunk exchange自动干线交换机 (0) 投诉

P:2025-02-05 16:19:03

10

sa571328:

请问一下白蓝绞距是多少,谢谢


10.3

ECMC - Electric Cable MakersConfederation UK英国电缆制造商联盟 (0) 投诉

P:2025-02-05 16:19:19

11

游客:

应该是金东的串联线


这个有设备的问题吗

cross-linking reaction - 交联反应 (0) 投诉

P:2025-02-05 16:24:35

12

我发了信息给你,请查看,谢谢

longitudinal steel strip reinforcement - 纵向钢带加固层 (0) 投诉

P:2025-02-08 08:33:05

13

这种频域阻抗测量基于什么测试方法?

CCVL - catenary continuous vulcanization line悬挂式连续硫化生产线 (0) 投诉

P:2025-02-10 08:15:55

14

退扭多少?

high-torque extruder - 高转矩挤出机 (0) 投诉

P:2025-02-12 15:46:26

15

416013943:

退扭多少?

30

dead-end anchor cup - 固定端锚杯 (0) 投诉

19


你需要登录才能发表,点击登录