电线电缆网 > 线缆设计|参数计算 > 同轴电缆的电气参数计算(完整版)
同轴电缆的电气参数计算 - 无图版
祖国万岁 --- 2006-09-23 14:32:13
1
同轴电缆的一个回路是同轴对,它是对地不对称的.在金属圆管(称为外导体)内配置另一圆形导体(称为内导体),用绝缘介质使两者相互绝缘并保持轴心重合,这样所构成的线对称同轴对。同轴电缆可用于开通多路栽波通信或传输电视节目,也可用同轴电缆传输高数码的数据信息(如UL2919屏幕线)
1.一次传输参数:
同轴电缆的一次传输参数主要随电流的频率及电缆结构尺寸D/d变化而变化.
(1).有效电阻,随频率的增大而增大.而与内外导体直径比没直接的关系.
(2).电感随频率的增大而减小,随内外导体直径比增大而增大.
(3).电容与频率无关,随直径比的增大而减小.
(4).电导与频率基本上成正比,随直径的增大而减小.
具体计算公式如下:
1.1.有效电阻:
同轴电缆的有效电阻包括内导体的有效电阻及外导体的有效电阻,当内外导体都是铜导体时,总的有效电阻为:

1.2有效电感:
同轴回路的电感由内.外导体的内电感和内外导体之间的外电感组成,当内外导体都是铜时,回路的电感为:

1.3同轴电缆电容﹕
同于同轴电缆无外部电场,所以同轴对的工作电容就等于同轴对内外导体间的部分电容,电容计算可按圆柱形电容器的电容公式来计算:

Dw-外导体结构的修正系数(理想外导体Dw=0,非理想外导体Dw=编织外导体中的单线直径)
K1-内导体结构的修正系数,
D1-同轴线外导体内径(mm)
1.4绝缘电导:
同轴对的绝缘导体G由两部分组成: 一是由绝缘介质极化作用引起的交流电导G~,另一个部分是由于绝缘不完善而引起的直流电导G0:
G=G0+G~

2.二次传输参数:
二次传输参数是用以表征传输线的特性参数,它包括特性阻抗ZC,衰减常数α,及相移常数.
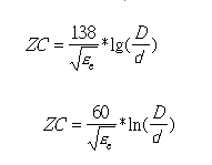
2.1.同轴电缆特性阻抗﹕
2.1.1.对于斜包,铝箔纵包可近似看作是理想外导体,计算如下:

2.1.2.编织外导体,绞线内导体计算如下:

2.2同轴电缆衰减的计算公式:

KS-----绞线引起射苹电缆电阻增大的系数,KS=1.25
KB-----编织引起射苹电缆电阻增大的系数
Dw----编织外导体中的单线直径
KP1,KP2-分别表示内,外导体与标准软铜不同时引起射频电阻增大或减小的系数.
编织系数KB还可用如下计算方法求出:

2.3延时﹕
延时是指信号沿电缆传输时,其单位长度上的延迟时间.
同轴电缆的延时与电缆尺寸无关,仅仅取决于介质的介电常数.

特缆先锋 --- 2006-12-25 18:07:45
2
谢谢楼主~~!!
michael --- 2007-02-26 17:33:17
3
hylss --- 2007-03-04 13:31:55
4
有深度!!
hansen --- 2007-04-04 09:36:51
5
好贴,顶起来
thinkluoy --- 2007-08-16 17:55:44
6
fangcz --- 2007-08-28 14:41:16
7
AAAA --- 2007-08-29 19:26:16
8
好象打不开啊?
manwang801 --- 2007-12-05 10:47:17
9
arthurtan --- 2007-12-08 18:50:18
10
怎么看不到啊?
xyxiong --- 2012-05-19 08:32:59
11
张杰8 --- 2012-06-21 14:31:49
12
谢谢!
innovation --- 2012-06-22 02:47:10
13