电线电缆网 > 通讯电缆 > 别人发我的,但是还没搞清楚,是计算关于回波峰值(完整版)
别人发我的,但是还没搞清楚,是计算关于回波峰值 - 无图版
wwq0187 --- 2019-06-29 10:42:05
1

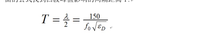
有哪位朋友知道这个公式吗?能否指导讲解下?谢谢
zhongli08 --- 2019-06-29 10:48:58
2
是不是通信电缆设计方面的
wwq0187 --- 2019-06-29 10:51:34
3
zhongli08:是不是通信电缆设计方面的
是的,目前我们公司在40兆左右阻抗尖峰,四对都一样,别人发我这个公司,
sa571328 --- 2019-07-01 09:05:19
4
你把报告发过来看一下,这种问题从设备入手解决
wwq0187 --- 2019-07-01 14:47:14
5