电线电缆网 > 线缆设计|参数计算 > 纳米软件(Namisoft)基于 DSP 的电子负载研究意义及名词解释(完整版)
纳米软件(Namisoft)基于 DSP 的电子负载研究意义及名词解释 - 无图版
namisoft2018 --- 2020-03-11 15:26:06
1
如何科学快速地检测电源产品的性能和指标成了一大难题。静态能耗式负载像电阻和电阻箱等,采用有级调节,负载形式单一,功率小。现实中的实际负载形式比较复杂,通常都是动态的,即负载随时间、频率在不断的变化,传统的静态负载越来越不能满足电源测试的要求。因此,国内外学者都在寻求可以替代的负载形式,产生了由电阻、电感、电容、晶体管和集成电路组成的电力电子负载。它可以在输入端模拟线性、非线性和特殊负载的电特性,达到对被测设备各种电特性的测试目的。同时将电力电子技术和微机控制技术引入负载装置,设计成数字电子负载,建立相应的软件操作界面,不但可以实现传统静态负载的一些基本功能,而且可以在原有负载的基础上通过升级软件,实现更多的功能:
(1)预设测试值。在恒流模式下,测试电池2A电流的放电特性,将设定值输入电子负载,接上测试电源,电子负载将按照设定的2A的电流开始给电池放电,全程自动完成测试任务。
(2)测试参数的保存。当电子负载在生产线上应用时,可为待测试产品设定一组数据并保存下来,当下次再测试这个产品时只要调出来使用就行了,而不用再从新设计参数。
(3)测试模式的选择。测试电源产品在不同测试模式下,不同的电流值下电压变化情况,或者是在不同电压值下的电流变化情况,此功能可以让待测电源产品在测试时按照设定的测试模式下,根据测试参数的不同自动控制输入信号。
(4)数据保存功能。少量的数据可暂时保存于DSP的RAM上,长期保存的较大c的数据,需要通过串口把传到上位机上,保存到电脑硬盘里面。
(5)控制策略调用。对不同的待测电源,调用上位机里面不同的控制算法来实现不同的控制策略,适应不同产品的电源特性,满足测试的精度要求。
数字式电子负载与传统的模拟电阻性负载相比,具有以下优点:
(1)体积小、重量轻、节约电能。由于电子负载系统没有把试验的所有功率变成热量,因此不必使用体积庞大的电阻箱及冷却设备,因而节约了安装空间和降低了实验设备成本。
(2)减低了电源测试时的劳动强度,若采用传统的电阻性负载,要根据不同的所测试设备选择组装不同的器件,测试时操作又繁琐。电力电子负载可以根据设定自动完成测试任务,简化测试工作。
在过去的几年中,最显着的是功率半导体器件驱动的负载性质的变化。市场正从按照负载类型(如:电动机、磁盘驱动器、电视机线圈、荧光灯)划分转变为纯电子负载(如IC)占功率半导体应用市场的主要份额上来。这一成长的市场集中体现在功率半导体产品的革新,也为新型控IC创造了市场机会。其成长之迅速使得业界还特别为描述该市场定义了一个新名词:电源管理,从开辟了IC电子负载的新天地。近年来,由于数字信号处理器、电力电子以及控制理论和控制方法的快速发展,数字控制系统已成为控制技术的主流,电子负载必将具有更广阔的前景和更广大的市场。
1.2电子负载研究的现状
1.2.1什么是负载
负载是指连接在电路中的电源两端的电子元件,把电能转换成其他形式能的装置,常用的负载有电阻、马达和灯泡等可消耗电源功率的元器件。不消耗功率的元器件,如电容,也可接上去,但此情况为断路。负载通常分为如下几种:
感性负载:感性负载即具有电感的性质,磁场和电流不能突变。当负载电流滞后负载电压一个相位差时,负载为感性,如负载为电动机、变压器。
容性负载:容性负载即具有电容的性质,充放电和电压不能突变,当负载电流超前负载电压一个相位差时,负载为容性,如负载为补偿电容。
阻性负载:当电流和电压没有相位差时负载为纯阻性负载,如家用的白炽灯、电炉。
混联电路中容抗大于感抗时负载电路呈容性,容抗小于阻抗时为感性。
1.2.2传统的负载
过去人们往往使用一些互连的低功率瓷盘电阻、滑线变阻器或电阻箱作为测试负载,这些负载分辨率低,阻值会因接触不良和发热发生变化。并且有如下缺点:设备笨重,携带不便,调节费力,精度难以保证;负载电流不能连续调节,从零调到满载在加电的状态下,易接触不良打火烧毁;难以用于程控化、数字化的自动化生产线上,更不能测试电源的动态参数。
1.2.3现代的电子负载
随着功率场效应晶体管(MOSFET)、绝缘栅双极型晶体管(IGBT)和场效应晶闸管等主要开关器件的出现以及电力电子变换器拓扑的发展,现代电子负载是利用有源元件主动从电源中吸收电流,一般由放大器和功率器件等电子元件组成的可调负载,靠控制功率管或晶体管的导通量(占空比大小),通过功率管的耗散功率消耗电能的设备。它能够准确检测出负载电压,精确调整负载电流,同时可以实现模拟负载短路,模拟负载是感性电阻或容性电阻,从而可以模拟真实环境中的负载即用电器,实现对负载电流的实时调节和控制。
现有电子负载的大都是模拟控制环节,调节和控制的适应性和实时性差,不能适应不同电源供应器的具体情况。电子负载的数字化和智能化关键在于控制模块的数字化,用DSP来实现数字电子负载即用DSC取代传统电子负载上的控制芯片MCU,使用更合理的控制算法来实现控制要求。带有MIPS的数字信号处理器,除明显的改善产品性能外,还大大的简化了产品的设计过程。TMS320F28x系列其强大的CPU处理能力,可以运行多种非线性控制算法,整合多种控制策略,从而为电子负载搭建高性能的控制算法硬件平台。
1.2.4电子负载的分类
电子负载常用的有恒阻和恒流两大类型,恒阻型电阻负载和普通的电阻的电压电流特性差不多。现在的使用的实际电子电路,使用大量的IC元件和电阻电容器件,电压电流特性已经和纯电阻特性相差很远,而恒流型电阻负载更接近于实际,为广大测试人员的首选。
从电源类型来看,电子负载可分为直流电子负载和交流电子负载两种。直流电子负载比交流电子负载应用时间长,范围广。最初利用电力电子器件的特性,用电力电子元件搭建电子电路来模拟负载,通过分析等值电路,可以实现模拟定电阻、定电压等特性。随后将单片机技术应用到电子负载中,实现了定电流模式和可编程斜率模式,使得电子负载可以工作在其它多种模式:动态电阻模式、短路模式等。相比直流电子负载,交流电子负载可以模拟传统的真实阻抗负载,它能模拟一个固定或者变化的负载,甚至将试验的电能反馈回电网,其电路结构如下图1.1所示。
上图1.1中,e1为待测试的交流电源输出电压,e2为外接的交流电网电压。
从电子负载的电子器件组成来分,可分为晶体管式电子负载、场效应管式电子负载和绝缘栅双极型晶体管式负载。
晶体管式电子负载:通过基极电流可以控制集电极电流,从而可以达到控制晶体管作为一个可变负载的目的。利用大功率晶体管作为一个电子负载,如下图所示,Ul为外接负载的电压,IL为负载电流,UR为基准电压,由图可以看出如式1.1所示。负载电流流过Rd的电压信号作为误差放大器的反相端的一个信号,基准电压UR作为误差放大器的正相端的控制信号,负载电流只和基准电压有关,与负载电压大小没有关系。我们通过改变基准电压UR的大小就可以改变负载电流的大小。
大功率晶体管构成的功率恒流源担当负载,吸收电源提供的大电流,模拟复杂的负载形式。一旦基准电压固定,保持在某一值上,无论负载电压怎样变化,回路中的负载电流都维持在一个恒定的电流值上。由于晶体管属于电流控制型器件,控制电流变化速度较慢,因此适合模拟电流恒定或是变化缓慢的实际负载。
并且,晶体管还存在温度系数为负的问题,所以使用过程中还需考虑温度补偿的问题。
场效应晶体管式电子负载:场效应晶体管(MOSFET)工作在不饱和区时,漏极与源极之间的伏安特性可以看作是一个受栅源电压控制的可变电阻。用MOSFET作可变电阻具有工作速度快,控制灵敏和可靠性好等优点,而且无机械触点,无运动部件,噪声低,寿命长。但是MOSFET的通态电阻较大,负载电流较小。所以MOSFET适合模拟一些变化速度较快,但电流不大的实际负载。
传统的以MOSFET作为电阻负载的原理图,见图1.2.由图可以看出,通过运放及反馈来控制MOSFET的栅极电压,从而达到其内阻变化的目的。

绝缘栅双极型晶体管式电子负载:绝缘栅双极型晶体管,简称IGBT,IGBT工作在不饱和区时,其射极与集电极之间的伏安特性可以看作是一个受栅极电压
控制的可变电阻。它与晶体管相比,响应速度快;与MOSFET相比,负载电流大,通态阻值变化范围大。IGBT可以用来模拟动态电弧,如图1.3所示。将事先已测得的电弧阻值变化通过计算机编程,来控制IGBT栅极电压的变化,从而达到IGBT作为可变负载时需要的变化阻值。这种电子负载是主要用来完成对弧焊电源动特性的测试。
从能量的观点来分,电子负载可以分为能耗式电子负载和能馈式电子负载。
模拟负载的主要功能是完成通信电源的出厂试验。图1.4为电子负载试验示意图。

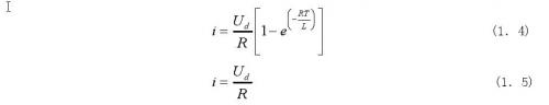
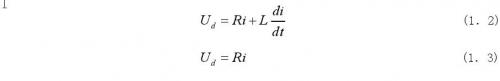
图1.4中的“负载模拟单元”所模拟的负载一般可以等效为电感和电阻的串联,如下图1.5中的a所示,设被试电源的输出电压为Ud.在分别模拟阻感负载和电阻负载时,其等值电路应同实际的阻感、电阻负载相同,如图1.5中的b所示。
同时,可得到它们的数学模型为:
分别解方程式,则有:
在模拟阻感负载时,电网电压在一定范围内恒定,被测电源输出电流的大小直接正比于系统所模拟的功率的大小,即正比于交流侧电流的大小,而电流的设定值若按上式(1.4)的给定进行控制,则成功地控制了被测电源输出电流的大小,也就是成功地模拟了R、L性质的负载,此时通过对R、L值的设定即可实现对模拟功率的设定。同理,模拟纯电阻负载时,电流设定值按上式(1.5)的给定取值即可。该负载有节约能源的目的,但前提条件是需要掌握实际负载的数字模型,对一些数学模型尚未清楚的实际负载而言,此方法的应用有些困难。
能馈式电子负载是一种新兴的电子负载,是根据节约能源、减少开支和试验自动化的要求而设计的,它可以在完成测试功率试验的前提下,将待测试设备的输出能量大部分无污染的反馈回电网,节约了大部分能源,实现了能量的循环再生利用。
1.3研究的内容和主要的性能指标
采用单片机作为主控芯片,虽然可以实现简单的控制功能,但是调节和控制的适应性和实时性差,特别是随着电源产品测试的实时性和精度的要求的提高,需要处理的数据量越来越大,低档的单片机已不再能满足要求。与单片机相比,DSP器件采用改进的哈佛结构,具有独立的程序和数据空间,允许同时存取程序和数据,片内集成了A/D和采样/保持电路,内置高速的硬件乘法器,增强的多级流水线,使DSP器件具有高速的数据运算能力。采用DSP(数字信号处理器)的电子负载,可以对负载电流上升和下降变化速率采取数字化实时控制,自动的调节负载电流,适应不同的电源的测试特性要求,研究的主要内容为:(1)、确定实现数字电子负载的方案的可行性。
(2)、设计电子负载的硬件电路,研究主电路元器件的选择和控制电路的设计。
(3)、结合TMS320LF2812和信号板模拟电路,研究数字PID控制器,通过控制MOS管的门极电压大小,来达到控制信号板上负载电流大小的目的。
(4)、依据控制系统的功能要求,编写各个单元模块控制系统的软件程序。
(5)、完成直流电子负载的硬件电路和软件电路调试后,连接硬件电路载入软件进行系统联调,根据实际情况修改电路和改进软件算法。
(6)、简化直流电子负载控制系统模型,进行在MATLAB中简化仿真,设计不同的控制算法,验证各种控制策略的可行性。
(7)连接市场上销售的电源产品进行测试,并对测试结果进行分析,根据测试的负载特性曲线,检验控制方案的正确性和可行性,研究探讨实际应用中存在的问题,加以改进。
基于DSP的直流电子负载系统设计应当满足以下要求:
WTQ999 --- 2020-03-12 10:28:41
2
namisoft2018 --- 2020-03-25 09:08:17
3
WTQ999:强!
谢谢!欢迎您讨论。