电线电缆网 > 通讯电缆 > 矩形导波的传输模式和特点(完整版)
矩形导波的传输模式和特点 - 无图版
shqiyue123 --- 2021-12-28 14:04:32
1
矩形导波是采用金属管传输电磁波的重要导波装置,其管壁通常为铜、铝或者其他金属材料,其特点是结构简单、机械强度大。波导内没有内导体,损耗低、功率容量大,电磁能量在波导管内部空间被引导传播,可以防止对外的电磁波泄露。矩形导波只能传输TE波或TM波。
矩形导波的传输模式
矩形导波有简并模、主模和单模传输。
矩形导波中可以出现各种TM模和TE模,以及他们的线性组合。当工作波长小于各种模式的截止波长,或者工作频率大于各种模式的截止频率时,这些模式都是传输模,因而波导可以形成多模传输。
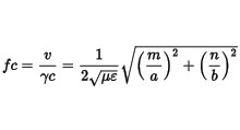
矩形导波的截止频率为

截止频率不仅与波型和波导尺寸有关,还与波导中所填充的介质有关。
矩形导波的传输特点
若使电磁波能够在波导中传输,必须f>fc,或者λ<λc,由此可以得到波导中传输各种模式电磁波的传播特性参数。
TM波和TE波的传播速度随频率变化,表现出色散特性。
在波导中存在多模传输的情况下,如果模式之间相互正交,则它们之间没有能量交换,各个模式的衰减常数可单独计算。如果模式不正交,相互之间有能量耦合,就不能单独直接计算。对每个模式而言,除了导体、介质损耗外,还有模式转换损耗。总之,影响导波衰减的因素有:波导材料的电导率、工作频率、波导内壁的光滑度、波导的尺寸、填充媒质的损耗、工作模式等等。
特点
1.矩形波导不能传播TEM波,只能传播TE波或TM波。
2.一般来说(a>b)矩形波导的主模为TE10模。
3.矩形波导的截止波长为2a。 [1]
4.单模传输条件是波长大于2b且波长小于2a大于a。
5.矩形波导功率容量较大,衰减较小。
?
WT18124282102 --- 2021-12-29 09:09:28
2

xuyue13773426 --- 2022-04-04 02:35:35
3
