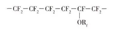
聚四氟乙烯(PTFE)树脂是经济领域内,特别是尖端科学技术和国防工业不可缺少的重要材料。它具有优异的耐高低温、耐化学腐蚀、防水、不粘、低摩擦因数、良好的自润滑、优异的介电性能等特性。但是其加工困难,耐应力开裂、抗蠕变性较差。通过四氟乙烯与全氟烷基乙烯基醚共聚改性制备的可熔性聚四氟乙烯树脂(PFA)可解决聚四氟乙烯树脂加工困难的缺点。其结构式如下: PFA主链结构与聚四氟乙烯树脂接近,侧链结构在引入全氟烷基乙烯基醚后增加了高分子链的柔性。PFA在保持聚四氟乙烯的优异物理、化学性能的同时,树脂的冷流动性也得到了改善,熔融黏度降低,能采用常规的模压成型、挤出成型和注射成型等方式进行加工。
PFA可以采用模压成型、挤出成型和注射成型等工艺进行加工。PFA的熔点为300 -310℃,成型温度为350-410℃,加工特性与FEP(聚全氟乙丙烯)基本相同。但由于它的熔融黏度比FEP树脂高,所以加工温度更高,加工速率更小,热加工设备的腐蚀情况更严重,因此,必须对其加工设备和模具在结构和材质上进行相应的优化。 PFA模压树脂结晶度小,流动性能差,加工时温度控制困难,容易分解产生腐蚀性、毒性气体。 采用挤出成型方法可以生产各种电线包层、多芯电缆护套、管材、薄膜和单丝等。PFA挤出成型的工艺和设备可与FEP的工艺和设备通用,但成型温度需提高。 各种复杂形状的电子电气工业零件以及医学、化学试验器具等均可用PFA以普通的螺杆注塑机制造。常用塑化能力较强的螺杆挤出机,其混炼物料均匀、滞料少,对模具传递应力快,但是与PFA熔融树脂接触的螺杆、机筒和模具等均需要用耐腐蚀的不锈钢制作,同时使用大口径的注入口、流道和浇注口,并且流道要尽可能短、无任何障碍和尖锐的拐角,最好是能与浇口混成一体的圆形流道,模腔内所有的角和交叉点也都是圆的或流线型的,使熔融树脂呈流线型流动。 PFA的其他成型方法还有传递成型、粉末涂层、分散液浸渍成型、吹塑成型和真空成型等,与FEP的成型方法类似。 PFA在保持PTFE的耐腐蚀性、耐高低温、电气绝缘、自润滑和摩擦因数小等优异性能的同时,还可以采用熔融加工工艺。在工业中,PFA常作为防腐涂层、防老化涂层、特种过滤纤维、反应釜内衬、管材内衬、光缆防护层和宇航器材零部件等,广泛应用于建筑、化工、机械、电气、航天和医疗等领域。 化学工业用PFA制品主要有各类实验器皿以及反应釜内衬、管道管件内衬。与FEP制品比较,它耐应力开裂更好,易焊接,稳定性更高。 与FEP相比,PFA材料作为绝缘层的电缆具有更高的连续使用温度和更优异的耐应力开裂特性。因此,PFA广泛应用于制造各种电线绝缘层、连接件、插口、缠绕包覆膜。 在工业生产过程中,机械设备常常处于苛刻的温度、压力和化学介质环境中,而PFA有良好的耐温性、耐腐蚀性和耐化学性。在机械设备表面喷涂PFA或者直接采用PFA制品作为设备零部件可以取得良好的应用效果。 用高分子质量的PFA树脂挤出成型直管、外用不锈钢丝增强制备的软管比FEP软管性能稳定,寿命长且长度不受限制,这是因为PFA软管比FEP软管有更高的耐温、耐应力开裂性,因此,PFA软管更宜作为液压软管使用。
PFA本质上是通过引入含氟侧链基团对综合性能优异的PTFE进行改性的产物,它保留了 PTFE的绝大多数优点,又能熔融加工。尽管PFA的成本和价格是FEP的2倍和PTFE的3倍以上,但是PFA制品的性能及加工方法与FEP、PTFE等相比有许多明显的优势,在高端领域仍然得到不可忽视的应用。 如需详细了解材料可以联系13927673033咨询。
