电线电缆网 > 品质 检测 试验 > 智能投影仪中远心镜头与FA镜头的区别(完整版)
智能投影仪中远心镜头与FA镜头的区别 - 无图版
mfshuaigong --- 2023-09-09 11:07:39
1
智能投影仪采用机器视觉技术,拍照取像并在专业的软件中进行图像分析和各种计算,对电线电缆结构尺寸进行精准高效地测量,智能投影仪将逐步并完全取代传统投影仪。
镜头是机器视觉的核心部件之一,它对影像测量的精度起着关键的作用,有普通FA镜头与远心镜头之分。下图Figure 1~ Figure4列出了两种镜头不同的工作状态及获取图像的不同结果。

Figure 2 远心镜头(左)与FA镜头(右)拍摄圆柱体阵列

Figure 3 远心镜头下(左)与FA镜头下(右)圆柱体阵列的视图

Figure 3 远心镜头(左)与FA镜头(右)拍摄等径圆球不等高阵列

Figure 4 远心镜头下(左)与FA镜头下(右)等径圆球不等高阵列的视图
下面以实例说明FA镜头取像对测量结果的影响。
Figure 5 样片厚度对测量结果的影响
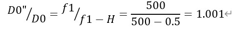
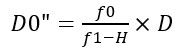
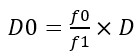
图中,f1为物距,假设镜头焦距为f0,样片直径D,样片厚度H,成像直径D0
………….(1)
……….(2)
理论上,如公式(1),成像直径大小与焦距和物距的比值成比例关系,该比例也就是镜头的倍率。
实际操作过程中,样片始终是有一个厚度值,从公式(2)可以看出,D0”始终大于D0,而且样片的厚度H越大,D0”与D0相差就越大,举例说明,假设f1=500mm,D=50mm,H=0.5mm,则有

直径D=50的样片,厚度为0.5mm的话,影像测量的结果将为
![]()
由此可以看出,FA镜头取像,样片的厚度变化将对测量结果带来较大的偏差,而远心镜头取像,样片的厚度变化将不会有影响。当然,通过合理配置f0、f1参数也可以大大缩小其测量偏差,但也会因此需要更大的设备空间,所以需要综合考虑、合理配置,不能因为两种镜头巨大的价差而盲目选择,最终有违精密测量的目标。
mfshuaigong --- 2023-09-09 11:27:38
2
智能投影仪选型要根据被测样品种类、测量范围、测量精度加以综合考虑,不能一味地关注仪器的价格,有需要采购智能投影仪的朋友可联系作者,可提供高性价比的参考方案。
杭州魔方智能科技有限公司,高级工程师,帅工 18657104600(微信同号)