电线电缆网 > 新手区 > 佬们,图片里的佬科普的电压等级是依据哪份标准的(完整版)
佬们,图片里的佬科普的电压等级是依据哪份标准的 - 无图版
S721956I --- 2023-11-06 16:45:54
1

tzy18315301977 --- 2023-11-06 17:01:14
2
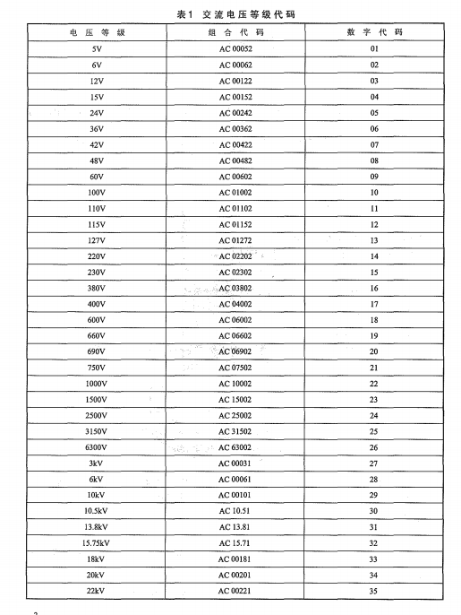
GB/T 156-2017标准电压
zhangyuhang564851702 --- 2023-11-06 17:05:22
3
GB/T 2900.50
jhy00919 --- 2023-11-07 08:20:24
4
tzy18315301977 --- 2023-11-07 14:02:17
5



