电线电缆网 > 新手区 > 物理发泡 6A F/FTP 线体回波损坏问题求助(完整版)
物理发泡 6A F/FTP 线体回波损坏问题求助 - 无图版
a1737292 --- 2025-07-29 16:03:39
1
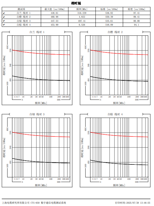
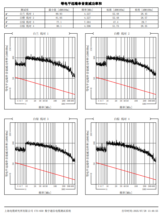
求助各位大神,帮忙看看我这个6A 线回波损耗 一直不稳定,容易测试不通过
对绞节距16.5/17.5/17/19.5 成览节距 90 铜在0.535,绝缘1.35












farvs --- 2025-07-29 17:42:33
2
- 导体缺陷
- 铜线直径波动(>±0.0002英寸)或椭圆度超标
- 绞合节距不均匀导致阻抗周期性变化
- 表面划伤或氧化(如退火工序残留水渍)
- 绝缘层问题
- HDPE/PP材料介电常数波动(原料批次差异或受潮)
- 挤出厚度偏差(>±0.01mm)
- 同心度不足(偏心度>5%)
- 对绞结构异常
- 双绞线节距一致性差(标准节距12-20mm,偏差>±0.5mm)
- 张力控制不稳导致绞合松紧不均
- 骨架式CAT6A的十字隔离件变形或注塑缺陷
- 屏蔽层干扰(针对S/FTP型)
- 铝箔搭接率<25%或褶皱
- 编织网覆盖率<85%造成电磁泄漏
- 屏蔽层与绝缘体间存在气泡
- 端接工艺影响
- 剥线时损伤绞对结构
- 水晶头压接力度不均导致接触阻抗突变
- 护套开剥长度超标(>12mm破坏平衡)
问AI这样回答的,希望对你有帮助
19801122 --- 2025-07-30 08:43:59
3
发泡度是多少呢?
游客 --- 2025-07-30 09:14:14
4
二楼很专业

wilderwang1 --- 2025-07-30 11:29:00
5
阻抗有尖峰,经常是第一对出问题吗?阻抗整体也偏大,可以适当把绝缘外径做小点
a1737292 --- 2025-07-30 16:50:26
6
19801122:发泡度是多少呢?
50%
a1737292 --- 2025-07-30 16:50:58
7
wilderwang1:阻抗有尖峰,经常是第一对出问题吗?阻抗整体也偏大,可以适当把绝缘外径做小点
比较随机 四个线对都有 现在是按1.35在做
a1737292 --- 2025-07-30 16:51:29
8
farvs:
导体缺陷
铜线直径波动(>±0.0002英寸)或椭圆度超标
绞合节距不均匀导致阻抗周期性变化
表面划伤或氧化(如退火工序残留水渍)
绝缘层问题
HDPE/PP材料介电常数波动(原料批次差异或受潮)
挤出厚度偏差(>±0.01mm)
同心度不足(偏心度>5%)
对绞结构异常
双绞线节距一致性差(标准节距12-20mm,偏差>±0.5mm)
张力控制不稳导致绞合松紧不均
骨架式CAT6A的十字隔离件变形或注塑缺陷
屏蔽层干扰(针对S/FTP型)
铝箔搭接率<25%或褶皱
编织网覆盖率<85%造成电磁泄漏
屏蔽层与绝缘体间存在气泡
端接工艺影响
问AI这样回答的,希望对你有帮助
剥线时损伤绞对结构
水晶头压接力度不均导致接触阻抗突变
护套开剥长度超标(>12mm破坏平衡)
需要具体思路
416013943 --- 2025-07-30 17:33:33
9
外径做做小 1.25~1.3区间,电容控制在110~114区间。1-3对的对绞机查下看,建议换成2-4对的对绞机做。再试试看
BMW998 --- 2025-07-30 17:53:19
10
2楼是复制AI的吧?

19801122 --- 2025-07-31 08:49:38
11
19801122:a1737292:发泡度是多少呢?
50%
建议把发泡度做小
daoshudiyi --- 2025-07-31 14:15:40
12
发泡度得做小,发泡度高了 缆芯变形,芯线一致性不太好,可以测一下线对芯线内的两者电容,至少相差1到2pF/M
,还有测试长度短一些 ,305mi太长了。这峰看的密密麻麻、
brucegu --- 2025-08-01 14:20:31
13
BMW998:2楼是复制AI的吧?
人家说了是Ai查的呀
YZBC888 --- 2025-08-03 09:49:14
14

YFQ1969 --- 2025-08-04 09:14:58
15
有些看不懂,但还是要谢谢!
FWP --- 2025-08-04 14:05:02
16
哪家工厂,请我过去把你搞定,省事!
hexchen2012 --- 2025-08-04 17:03:17
17
对绞张力,绞距一致性,可以看下是不是一致,通常看绞距密的阻抗曲线都会比较稳定,‘对绞节距16.5/17.5/17/19.5 成览节距 90’可以适当把对绞绞距缩短;成缆缩短到80左右。希望可以帮你
游客 --- 2025-08-06 13:31:13
18
要想控制回波损耗,第一:导体的真圆度要控制在97%以上,如果是绞合导体,还要注意绞合导体的单个元件线径的均匀性; 第二:控制好绝缘与导体的同心度,尽量控制在98%左右一点点,绝缘层的真圆度也要控制在96%以上; 第三:调整生产过程中各设备的中心线尽量在同一直线上; 第四:减少生产过程中设备的震动,防止绝缘冷却过程中因为震动导致的椭圆度超标和导体与绝缘的偏心度增大; 第五:使用合适耐磨的模具以及检查过程中各设备是否有异物导致绝缘损伤的情形; 第六:绞线张力不可以太大,防止绞线时绝缘变形