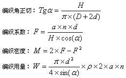
电线电缆网 > 编织 铠装 屏蔽 > 编织密度及用量的计算(完整版)
编织密度及用量的计算 - 无图版
mxsf1984 --- 2009-09-25 16:16:40
1
编织密度及用量的计算 2金币差不多


83201398 --- 2009-10-06 09:36:39
2
有的厂家编织工艺是先分几种编织角度,之后根据相应的编织角度来确定对应的编织密度,根本不体现节距齿轮相关工艺参数,感觉这样的工艺实用性不强,不知楼主能否多多指教!
dxdlws --- 2010-01-07 09:40:15
3
是5金币不是2
wu07605 --- 2010-07-22 19:22:43
4
是哦、到底是那方面的 以前在做编制的时候,有些问题还没弄清楚
宝源电工 --- 2011-02-18 14:28:52
5
有用吗
frankerhu --- 2011-05-25 20:36:02
6

gcb186 --- 2011-11-29 14:26:14
7

YZJ1217 --- 2012-12-20 09:51:45
8
