电线电缆网 > 线缆设计|参数计算 > 金属套损耗因数(完整版)
金属套损耗因数 - 无图版
zpc --- 2010-12-09 15:41:04
1

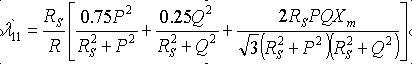
| 三根单芯电缆平面排列,中间一根与两侧的电缆间距相等,不换位,金属套两端互连时最大损耗的那根电缆(即滞后相的外侧电缆)的损耗因数 |
主席 --- 2010-12-21 12:52:04
2
电缆手册上有明确说明 R是每厘米电缆的导线电阻,RS是每厘米电缆的护电阻(金属套电阻) 后面的公式跟你的有点出入,不过R和RS的定义不会错
1

| 三根单芯电缆平面排列,中间一根与两侧的电缆间距相等,不换位,金属套两端互连时最大损耗的那根电缆(即滞后相的外侧电缆)的损耗因数 |
2