首页 > 标准讨论 培训学习
[标准讨论] 标准解读|GB/T 12706.1新旧标准对比分析
P:2020-04-06 10:57:50
1
本文针对GB/T12706.1-2008《额定电压1kV(Um=1.2kV)到35 kV(Um=40.5 kV)挤包绝缘电力电缆及附件 第1部分:额定电压1kV(Um=1.2kV)和3 kV(Um=3.6kV)电缆》与GB/T12706.1《额定电压1kV(Um=1.2kV)到35kV(Um=40.5kV)挤包绝缘电力电缆及附件 第1部分:额定电压1kV(Um=1.2 kV)和3 kV(Um=3.6 kV)电缆》(报批稿)进行对比,新标准以正式版为准。
1. 修改了内衬层材料的要求
1) 2008版规定:
7.1.2材料
用于内衬层和填充物的材料应适合电缆的运行温度并和电缆绝缘材料相容。
2) 新版(报批稿)规定
7.2.2材料
用于内衬层和填充物的材料应适合电缆的运行温度并与电缆绝缘材料相兼容。除纵向阻水型电缆外,内衬层和填充物应采用非吸湿材料。
表5 无卤混合料的试验方法和要求
序号 | 试 验 项 目 | 单位 | 要求 |
1
2
3 3.1 3.2 | 酸气含量试验(GB/T 17650.1) 溴和氯含量(以HCl表示),最大值 氟含量试验(GB/T 7113.2) 氟含量,最大值 pH值和电导率试验(GB/T 17650.2) pH值,最小值 电导率,最大值 |
%
%
μS/mm |
0.5
0.1
4.3 10 |
2. 修改了挤包内衬层的规定
1) 2008版规定

2) 新版(报批稿)规定
缆芯假设直径 mm | 挤包内衬层标称厚度 mm | |
— >25.0 >35.0 >45.0 >60.0 >80.0 | ≤25.0 ≤35.0 ≤45.0 ≤60.0 ≤80.0 — | 1.0 1.2 1.4 1.6 1.8 2.0 |
3. 修改了绕包内衬层的规定
1) 2008版规定
2) 新版(报批稿)规定
4. 增加了绕包内衬层和(或)包带垫层厚度测量
1) 2008版规定
16.12绕包内衬层和(或)包带垫层总厚度的测量
12.7双金属带铠装
当采用金属带铠装和符合7.2规定的绕包内衬层时,内衬层应采用包带垫层加强。如果铠装金属带厚度为0.2 mm,内衬层和附加包带垫层的总厚度应按7.2的标称值再加0.5 mm;如果铠装金属带厚度大于0.2 mm,内衬层和附加包带垫层的总厚度应按7.2的标称值再加0.8 mm。
绕包内衬层和附加包带垫层总厚度的测量值不应小于规定值的80%再减0.2 mm。
金属带铠装应螺旋绕包两层,使外层金属带的中间部位大致在内层金属带间隙上方,每层金属带间隙率不应大于50%。
5. 修改了铜带屏蔽搭盖率的规定
1) 2008版规定
9.2.3铜带屏蔽应由一根重叠绕包的软铜带组成。重叠绕包铜带间标称搭盖率为15%,最小搭盖率不应小于5%。供需双方协商一致时,可采用其它结构。
屏蔽原材料软铜带应选择符合GB/T 11091规定的铜带。
6. 修改了铅套标称厚度的计算公式
1) 2008版规定

2) 新版(报批稿)规定
……(1)
7. 修改了铠装材料的规定
1) 2008版规定

2) 新版(报批稿)规定
8. 增加了粗圆金属丝的标称直径规定以及铠装下隔离套或内衬层标称厚度规定
1) 2008版规定
2) 新版(报批稿)规定
表10 铠装圆金属丝标称直径
铠装前假设直径 mm | 铠装金属丝标称直径 mm | |
— >10.0 >15.0 >25.0 >35.0 >60.0 | ≤10.0 ≤15.0 ≤25.0 ≤35.0 ≤60.0 — | 0.8 1.25 1.6 2.0 2.5 3.15,4.0 |
12.6 圆金属丝或扁金属线铠装
9. 修改了非金属护套的测量要求
1) 2008版规定

2) 新版(报批稿)规定
……(5)
10. 修改了外护套厚度的规定
1) 2008版规定

2)新版(报批稿)规定
…… (3)
11. 修改了非金属护套的测量要求
1) 2008版规定


2) 新版(报批稿)规定
…… (5)
12. 修改了高温压力试验要求
1) 2008版规定
![]()


2) 新版(报批稿)规定




13. 修改了单根阻燃试验的要求
1) 2008版规定

2) 新版(报批稿)规定
14. 修改了成束阻燃试验的要求
1) 2008版规定
2) 新版(报批稿)规定
15. 修改了烟密度试验要求
1) 2008版规定
![]()
2) 新版(报批稿)规定
16. 修改了黑色聚乙烯护套碳黑含量测试的适用对象
1) 2008版规定

2) 新版(报批稿)规定
17. 增加了铝合金导体的直流电阻要求
1) 2008版规定
2) 新版(报批稿)规定
18. 删除了热延伸试验负荷时间
1) 2008版规定


2) 新版(报批稿)规定


19. 增加了绕包带搭盖率和间隙率的测量
1) 2008版规定
2) 新版(报批稿)规定
当采用金属带铠装和符合7.2规定的绕包内衬层时,内衬层应采用包带垫层加强。如果铠装金属带厚度为0.2 mm,内衬层和附加包带垫层的总厚度应按7.2的标称值再加0.5 mm;如果铠装金属带厚度大于0.2 mm,内衬层和附加包带垫层的总厚度应按7.2的标称值再加0.8 mm。
绕包内衬层和附加包带垫层总厚度的测量值不应小于规定值的80%再减0.2 mm。
金属带铠装应螺旋绕包两层,使外层金属带的中间部位大致在内层金属带间隙上方,每层金属带间隙率不应大于50%。
20. 增加了绕包搭盖率和间隙率的测量和计算
1) 2008版规定
2) 新版(报批稿)规定
附 录 A
(规范性附录)
绕包搭盖率和间隙率的测量和计算
A.1 测量
A.2 计算
A.2.1 搭盖率
…… (C.1)
A.2.2 间隙率
…… (C.2)
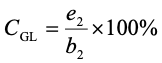
21. 增加了有一根小截面的三芯电缆的缆芯假设直径计算公式
1) 2008版规定
2) 新版(报批稿)规定
…… (A.2)
…… (A.3)
…… (A.4)
…… (A.5)
d) 有一根小截面的五芯电缆
…… (A.6)
e) 有两根小截面的五芯电缆
…… (A.7)
22. 增加了规定值的修约规则
1) 2008版规定


2) 新版(报批稿)规定
附 录 B
(规范性附录)
数值修约
B.1 假设计算法的数值修约
B.2 用作其它目的的数值修约
除B.1考虑的用途外,有可能有些数值需要修约到多于一位小数,例如计算几次测量的平均值,或标称值加上一个百分率偏差以后的最小值。在这些情况下,应按有关条文修约到小数点后面的规定位数。
B.3 测量值或其计算值与规定值的表示和判定(新增)
在判定测量值或其计算值是否符合要求时,应将测试所得的测量值或其计算值与规定值作比较,比较方法应采用修约值比较法,比较规则应符合GB/T 8170的规定。
表B.1 规定值、测量值或其计算值的修约数位
项 目 | 单位 | 规定值的修约数位 | 测量值或其计算值的修约数位 |
绝缘厚度平均值 | mm | 修约到十分位 | 修约到十分位 |
绝缘最小厚度 非金属护套最小厚度 挤包内衬层最小厚度 绕包内衬层厚度 绕包内衬层和包带垫层总厚度 铅套最小厚度 铠装金属丝最小直径 铠装金属线最小厚度 铠装金属带最小厚度 屏蔽铜带最小厚度 | mm | 修约到百分位 | 修约到百分位 |
23. 增加了成品电缆交货长度和标志要求
1) 2008版规定
2) 新版(报批稿)规定
24. 增加了无卤阻燃护套电缆安装时环境温度推荐
1) 2008版规定
2) 新版(报批稿)规定
eccentric wheel - 偏心轮 (5) 投诉
- [标准讨论] 2020版,GB12706 和GB9330在工艺上与2008版有变化吗?需要重新编写工艺附表吗?
- [低压力缆] GB/T12706-2020标准中对阻燃电缆的要求是否与GB/T19666-2019标准一致啊?
- [问题求助] 怎么理解GB/T 12706.1-2020 新标准内衬层7.3.3的要求:
- [国家标准] GB/T 12706.2-2020 额定电压1kV(Um1.2kV)到35kV(Um40.5kV)挤包绝缘电力电缆及附件第2部分:额定电压6kV(Um7.2kV)到30kV(Um36kV)电缆
- [标准讨论] GB/T 12706.1~3-2020部分标准条款应用探讨(冯耀才)
- [国家标准] GB/T 12706.1-2020 额定电压1 kV(Um 1.2 kV)挤包绝缘电力电缆及附件 带标注
- [标准讨论] GB/T 12706.1—2020疑问A2.9 金属带铠装电缆的附加垫层(加在内衬层外)。怎么理解?
- [低压力缆] 电缆YJV 3*2.5+1*1.5符合GB/T 12706.1-2020吗?
- [国家标准] GB/T 12706.2-2020 额定电压1kV(Um1.2kV)到35kV(Um40.5kV)挤包绝缘电力电缆及附件 第2部分:额定电压6kV(Um7.2kV)到30kV(Um36kV)电缆(1)(2)
46

新增的内容比删除的多